Org. Synth. 1985, 63, 206
DOI: 10.15227/orgsyn.063.0206
ANODIC OXIDATION OF N-CARBOMETHOXYPYRROLIDINE: 2-METHOXY-N-CARBOMETHOXYPYRROLIDINE
[1-Pyrrolidinecarboxylic acid, 2-methoxy-, methyl ester]
Submitted by T. Shono, Y. Matsumura, and K. Tsubata
1.
Checked by B. Schaer, G. Reymond, V. Toome, and Gabriel saucy.
1. Procedure
A. N-Carbomethoxypyrrolidine. A 1-L, three-necked, round-bottomed flask is equipped with a 200-mL pressure-equalizing dropping funnel, a Graham condenser protected by a calcium chloride tube, and a mechanical stirrer. The flask is charged with 200 g (1.89 mol) of sodium carbonate (Note 1), 400 mL of methylene chloride (Note 2), and 71 g (1 mol) of pyrrolidine (Note 3). The dropping funnel is charged with 103 g (1.1 mol) of methyl chlorocarbonate (Note 3), which is added with stirring over a 2-hr period at a rate that sustains a gentle reflux. After the addition of methyl chlorocarbonate is completed, the reaction mixture is stirred overnight at room temperature. The white precipitate is filtered with suction through a coarse Büchner funnel and washed three times with 100 mL of methylene chloride. The filtrate is concentrated on a vacuum rotary evaporator at a bath temperature of 30°C. The crude oily product is distilled under reduced pressure through a Claisen flask to yield 119–121 g (92–94%) of N-carbomethoxypyrrolidine, bp 64°C/1.3 mm.
B.
2-Methoxy-N-carbomethoxypyrrolidine. A solution of
N-carbomethoxypyrrolidine (12.7 g, 0.098 mol) and
tetraethylammonium p-toluenesulfonate (0.83 g, 0,0027 mol) (Note 3) in
83 mL of methanol (Note 2) is added into an
undivided jacketed cell (Note 4) equipped with
two graphite-rod anodes and two graphite-rod cathodes,
(Note 5) a
thermometer, an
exit tube for venting purposes, and a
magnetic stirring bar. The
carbon rods (0.6 cm in diameter, immersed 5.5 cm into the solution, resulting in a working electrode surface of 21.3 cm
2 and a current density of 46.9 mA/cm
2) are spaced 4.5 mm apart. The anode rods and the two cathode rods are connected with No. 22 copper wire as shown in
Figure 1. During the electrolysis
(Note 6), the temperature of the reaction mixture is maintained at 10–15°C
(Note 7) by cooling with tap water. After 2.34F/mol of electricity (1 A, 6 hr; the voltage between the anode and cathode was 19–24 V for the example in
Figure 1) has been passed through,
(Note 8) the current is stopped and the solvent is removed under reduced pressure. The residue is dissolved in
120 mL of methylene chloride and washed with aqueous
NaCl (20 mL). The aqueous
NaCl wash is reextracted with
methylene chloride (2 × 30 mL). The
methylene chloride phases are combined and dried over
magnesium sulfate. The solvent is evaporated and the residue is distilled, employing a
5 cm Vigreux column and an
oil bath at 80–90°C
(Note 9). The yield is
12.3–13.0 g (
78–83%), bp
48–55°C/0.2–0.5 mm (Note 10).
Figure 1. Electrolysis cell for methoxylation.
2. Notes
1.
Sodium carbonate, anhydrous powder, supplied by J. T. Baker Chemical Company, is used directly.
2.
Methylene chloride was purchased from Fisher Scientific Co.
3.
Pyrrolidine and methyl chlorocarbonate were purchased from the Aldrich Chemical Company, and used without further purification.
5.
The electrodes were purchased from Princeton Applied Research (PAR); spectroscopic grade, Lot#174/78. This grade is not necessarily the best type of graphite for electrochemical purposes, but it was the only one immediately available. The submitters used graphite plates, purchased from Tokai Carbon Company, Inc., as electrodes, but they note that these are not the only electrode material usable in this reaction.
6.
Princeton Applied Research (PAR) Potentiostat-Galvanostat, Model 173/179 was used.
7.
According to the submitters, the temperature should be kept below 50°C; otherwise lower yields are observed.
8.
According to the submitters, if more than 2.2–2.5F/mol of electricity is passed
N-carbomethoxy-2,5-dimethoxypyrrolidine forms. The by-product can be separated by distillation (bp
64–65°C/1.0 mm).
9.
An oil bath temperature higher than 100°C results in the formation of unsaturated carbamate formed by the elimination of
methanol from the methoxylated carbamate. Accordingly, in the anodic methoxylation of carbamates having high boiling points, the product must be purified by column chromatography in order to avoid formation of the unsaturated carbamates.
10.
The product has the following spectral properties: IR (liquid film) cm
−1: 2940, 2880, 1685, 1440, 1370, 1185, 1080, 950, 825, 770;
1H NMR (CCl
4) δ: 1.48–2.21 (m, 4 H, CH
2 at C
3 and C
4 of pyrrolidine ring), 3.25 (s, 3 H, methoxy CH
3), 3.08–3.52 (m, 2 H, CH
2 at C
5 of pyrrolidine ring), 3.64 (s, 3 H, ester CH
3), 5.06 (m, 1 H, CH at C
2 of pyrrolidine ring).
3. Discussion
This procedure describes anodic α-methoxylation of carbamates (
2), which are derived from primary and secondary amines (
1).
2,3
The intermediate cations (3) are trapped with methanol to yield α-methoxycarbamates, 4, which are sufficiently stable to be stored for a long period. Table I shows other examples of anodic synthesis of 4.
The high regioselectivity in the methoxylation of unsymmetrical carbamates is remarkable (see
2-pipecoline carbamate and
N-carbomethoxyproline methyl ester in Table
I). The methoxylation always takes place in the order of CH
3 .
TABLE I
ANODIC SYNTHESES OF α-METHOXYCARBAMATES
|
|
|
Electricity Passed (F/mol)
|
Carbamate
|
|
α-Methoxycarbamate
|
Yield(%)
|
|
|
|
2.7
|
|
86
|
|
|
2.6
|
|
69
|
|
|
2.5
|
|
87
|
|
|
3.0
|
|
89
|
|
|
2.7
|
|
55
|
|
|
4.85
|
|
83
|
|
|
10.2
|
|
88
|
|
|
6.0
|
|
70
|
|
|
7.1
|
|
77
|
|
|
2.1
|
|
72
|
|
|
3.2
|
|
94
|
|
α-Methoxycarbamates (
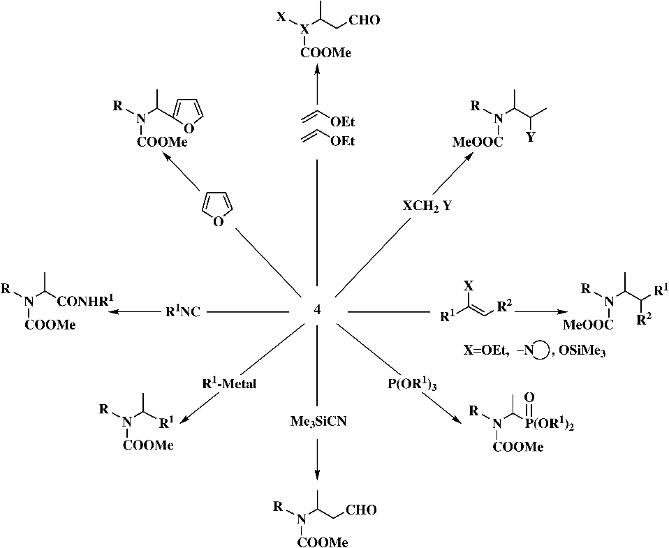
4) are useful intermediates in organic syntheses, since treatment of
4 with Lewis acids or Brønsted acids regenerates
3 which can be trapped with a variety of nucleophiles. Thus, physiologically active compounds such as alkaloids,
3 amino acids,
4 nitrogen-containing phosphorus compounds,
5 and pyridoxine
6 can be synthesized using
4 as key starting compounds.
Figure 2 summarizes the transformations.
3,4,5,6,7
Figure 2
Appendix
Chemical Abstracts Nomenclature (Collective Index Number);
(Registry Number)
methanol (67-56-1)
NaCl (7647-14-5)
sodium carbonate (497-19-8)
methylene chloride (75-09-2)
magnesium sulfate (7487-88-9)
methyl chlorocarbonate (79-22-1)
pyrrolidine (123-75-1)
carbamate
1-Pyrrolidinecarboxylic acid, 2-methoxy-, methyl ester,
2-Methoxy-N-carbomethoxypyrrolidine (56475-88-8)
2-pipecoline carbamate
α-Methoxycarbamate
N-Carbomethoxypyrrolidine (56475-80-0)
tetraethylammonium p-toluenesulfonate (733-44-8)
N-carbomethoxy-2,5-dimethoxypyrrolidine
N-carbomethoxyproline methyl ester
Copyright © 1921-, Organic Syntheses, Inc. All Rights Reserved