^
Top
Org. Synth. 2000, 77, 91
DOI: 10.15227/orgsyn.077.0091
O4,O5-ISOPROPYLIDENE-1,2:3,6-DIANHYDRO-D-GLUCITOL FROM ISOSORBIDE
Submitted by S. Ejjiyar1 , C. Saluzzo2 , and R. Amouroux2 .
Checked by Yuji Koga, Katsuya Uchiyama, and Koichi Narasaka.
1. Procedure
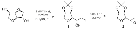
O4,O5-Isopropylidene-3,6-anhydro-1-deoxy-1-iodo-D-glucitol (1) . A 1-L, two-necked, round-bottomed flask equipped with a reflux condenser connected to a mineral oil bubbler, a 100-mL, pressure-equalizing, dropping funnel capped with a rubber septum through which is inserted a nitrogen-inlet needle, and a magnetic stirring bar is charged with anhydrous sodium iodide (30.0 g, 0.200 mol) (Note 1), isosorbide (14.6 g, 0.100 mol) (Note 2), dry acetone (15 mL, 0.200 mol) (Note 3), and dry acetonitrile (350 mL) (Note 3). To this stirred mixture is added dropwise, at room temperature, through the dropping funnel, freshly distilled chlorotrimethylsilane (25.5 mL, 0.200 mol) (Note 4). After the addition is complete, the dropping funnel is rinsed with 10 mL of dry acetonitrile . The reaction mixture is stirred for 12 hr, with protection from light, at room temperature. To the resulting orange-brown mixture, ether (200 mL) and aqueous saturated sodium carbonate (60 mL) are added, and then the whole mixture is transferred to a 1-L separatory funnel and 100 mL of water is added. The aqueous phase is separated and extracted with two 100-mL portions of ether . The combined organic layers are washed successively with 40 mL of an aqueous saturated sodium thiosulfate solution, 50 mL of an aqueous saturated sodium chloride solution, dried over anhydrous sodium sulfate , and filtered. The solvent is removed with a rotary evaporator at 35°C. The resulting pale yellow oil solidifies on standing to afford 31.0 g (99%) of crude product 1 as a pale yellow solid (Note 5), which was used in the next step without further purification.
O4,O5-Isopropylidene-1,2:3,6-dianhydro-D-glucitol (2) . An oven-dried, 500-mL, two-necked, round-bottomed flask is equipped with a magnetic stirring bar, a 250-mL, pressure-equalizing, dropping funnel, and a rubber septum with a needle connected to a dry nitrogen source. The nitrogen-flushed apparatus is charged with 100 mL of dry tetrahydrofuran (Note 6) and 2.8 g (0.117 mol) of sodium hydride (Note 7). The stirred suspension is cooled in an ice-water bath and a solution of 31 g (0.099 mol) of the crude iodo alcohol 1 in 150 mL of dry tetrahydrofuran is added dropwise through the dropping funnel during 1 hr. After the addition is complete, the dropping funnel is rinsed with 10 mL of tetrahydrofuran . After the mixture is stirred for 5 hr at room temperature, it is concentrated to a volume of about 100 mL under reduced pressure; then 150 mL of diethyl ether is added. The solution is recooled to 0°C and carefully quenched with 30 mL of an aqueous saturated solution of ammonium chloride . The whole mixture is poured into a 500-mL separatory funnel. After separation of the aqueous layer, the organic layer is washed twice with 20 mL of an aqueous saturated solution of sodium chloride . The combined aqueous layers, after addition of 50 mL of water, are extracted with two 50-mL portions of dichloromethane . The combined organic layers are dried over sodium sulfate , filtered and concentrated under reduced pressure to afford 16.6 g of a light beige solid. Recrystallization from hexane (180 mL) gives 13.3 g of pure epoxide 2 as white needles (mp 77°C) (Note 8). The overall yield from isosorbide is 72%.
2. Notes
1. Sodium iodide was obtained from Acros Organics, a Fisher Scientific Company , and dried in a "drying pistol" under vacuum at 113°C in the presence of phosphorus pentoxide (P2O5).
2. Isosorbide (dianhydro-D-glucitol) was purchased from Fluka Chemical Corporation and was used without further purification. The checkers purchased isosorbide from Tokyo Chemical Industry Corporation .
3. Acetone (Purex analytical grade) and acetonitrile (HPLC grade) were purchased from SDS Company and used as received. The checkers purchased anhydrous acetone and acetonitrile from Kokusan Chemical Works and used them as received.
4. Chlorotrimethylsilane was obtained from Aldrich Chemical Company, Inc. , and distilled from magnesium prior to use.
5. Physical properties and spectral data for 1 purified by recrystallization from petroleum ether (bp 40-60°C) are as follows: mp 72°C; [α] D 22 −66.6 (CH2Cl2, c 1.0); IR (CH2Cl2) cm−1: 3600, 3500, 2940, 2860, 1430, 1380, 1280, 1220, 1170, 1100, 1070, 1040, 980, 930, 900, 860, 840 ; 1H NMR (CDCl3, 200 MHz) δ: 1.32 (s, 3 H), 1.48 (s, 3 H), 3.02 (d, 1 H, J = 4.9, OH), 3.4-3.6 (m, 4 H), 3.95 (dddd, 1 H, J = 5.2, 5.2, 5.2, 4.9), 4.17 (d, 1 H, J = 10.8), 4.72 (dd, 1 H, J = 6.2, 3.6), 4.82 (dd, 1 H, J = 6.2, 3.6) ; 13C NMR (CDCl3, 50 MHz) δ: 9.4, 24.5, 25.9, 69.1, 72.5, 80.0, 81.2, 84.7, 112.4 ; MS (EI) m/e (rel. intensity): 299 (M −15, 17), 187 (M −127, 3), 171 (15), 144 (30), 127 (3), 86 (26), 69 (59), 59 (51), 57 (51), 55 (23), 44 (24), 43 (100) . Anal. Calcd for C9H15IO4: C, 34.41; H, 4.81; I, 40.40. Found: C, 34.55; H, 4.80; I, 40.27.
6. Tetrahydrofuran was predried over potassium hydroxide , then dried by distillation from sodium/benzophenone ketyl under nitrogen. The checkers purchased anhydrous tetrahydrofuran from Kanto Chemical Corporation and used it as received.
7. Sodium hydride was purchased from Aldrich Chemical Company, Inc. , and used as received.
8. Physical properties and spectral data for 2 are as follows: white solid (mp: 77°C); [α] D 26 −80.5 (CH3OH, c 0.502); IR (CH2Cl2) cm−1: 3050, 2960, 2900, 2840, 1600, 1430, 1350, 1200, 1150, 1080, 1060, 1040, 1010, 970, 910, 880, 850 ; 1H NMR (CDCl3, 200 MHz) δ: 1.34 (s, 3 H), 1.53 (s, 3 H), 2.66 (dd, 1 H, J = 4.8, 2.7), 2.91 (dd, 1 H, J = 4.8, 4.4), 3.03 (dd, 1 H, J = 6.9, 3.7), 3.29 (ddd, 1 H, J = 6.9, 4.4, 2.7), 3.52 (dd, 1 H, J = 10.8, 3.6), 4.10 (d, 1 H, J = 10.8), 4.70 (dd, 1 H, J = 6.1, 3.7), 4.80 (dd, 1 H, J = 6.1, 3.6) ; 13C NMR (CDCl3, 50 MHz) δ: 24.8, 26.0, 43.8, 50.0, 73.2, 81.2, 81.4, 84.6, 112.7 ; MS (EI) m/e (rel. intensity): 186 (M+., 0), 171 (M-15, 89), 149 (5), 111 (33), 69 (55), 68 (12), 59 (29), 57 (44), 55 (48), 43 (100), 41 (52), 39 (22), 29 (34) . Anal. Calcd for C9H14O4: C, 58.05; H, 7.58. Found: C, 57.83; H, 7.36.
Handling and Disposal of Hazardous Chemicals
The procedures in this article are intended for use only by persons with prior training in experimental organic chemistry. All hazardous materials should be handled using the standard procedures for work with chemicals described in references such as "Prudent Practices in the Laboratory" (The National Academies Press, Washington, D.C., 2011 www.nap.edu). All chemical waste should be disposed of in accordance with local regulations. For general guidelines for the management of chemical waste, see Chapter 8 of Prudent Practices.
These procedures must be conducted at one's own risk. Organic Syntheses, Inc., its Editors, and its Board of Directors do not warrant or guarantee the safety of individuals using these procedures and hereby disclaim any liability for any injuries or damages claimed to have resulted from or related in any way to the procedures herein.
3. Discussion
Isosorbide and isomannide are important by-products of the starch industry, arising from dehydration of D-sorbitol and D-mannitol . These commercial starting materials provide an easy and inexpensive access to optically pure functionalized tetrahydrofurans like O4,O5-isopropylidene-1-iodo-3,6-anhydro-1-deoxy-D-glucitol and O4,O5-isopropylidene-1-iodo-3,6-anhydro-1-deoxy-D-mannitol. This procedure describes a preparation of the former compound and the epoxide derived therefrom.
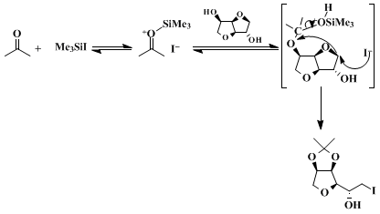
Ring opening of tetrahydrofuranic alcohols3,4 was previously described using iodotrimethylsilane in acetone, leading to iodo diols protected as their acetonide derivatives5. When isosorbide is treated with two equivalents of iodotrimethylsilane (TMSCl/NaI) in acetonitrile, in the presence of two equivalents of acetone, only one of the two rings was cleaved. Although two different products may be expected from the scission of one of the two heterocycles of isosorbide, the reaction turned out to be regioselective. In fact the reaction is controlled by the acetonide formation, which requires that the two oxygen atoms be in a cis relationship. A plausible mechanism for the ring opening of isosorbide is illustrated below.
Basic treatment (NaH, THF) of the iodo alcohol from isosorbide gives the corresponding epoxide. This epoxide presents two advantages: first, it is more stable than the iodo alcohol on storage, and secondly, it offers a great potential for transformations.
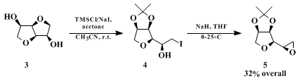
Similar chemistry has been used to convert isomannide 3 into iodoalcohol 4 and epoxide 5.3
To the submitters' knowledge, O4,O5-isopropylidene-1-iodo-3,6-anhydro-1-deoxy-D-glucitol and O4,O5-isopropylidene-1,2:3,6-dianhydro-D-glucitol have not been prepared before. However, the corresponding isomannide derivatives have been obtained in five steps from mannitol in low overall yield by Foster and Overend in 1951.6,7 The present method is a simple, rapid and inexpensive route to multigram amounts of these tetrahydrofuran derivatives in reasonable yields.

References and Notes
  1. Laboratoire de Chimie des Agroressources, Faculté des Sciences, Université Ibn Tofäil, BP 133 Kénitra, Morocco.
  2. Laboratoire de Chimie Organique Physique et Synthétique, CNRS, UMR 5622 Université Claude Bernard Lyon I, 43 Blvd du 11 Novembre 1918, 69622 Villeurbanne Cedex, France.
  3. Ejjiyar, S.; Saluzzo, C.; Amouroux, R.; Massoui, M. Tetrahedron Lett. 1997, 38, 1575.
  4. Amouroux, R.; Jatczak, M.; Chastrette, M. Bull. Soc. Chim. Fr. 1987, 505.
  5. Amouroux, R.; Slassi, A.; Saluzzo, C. Heterocycles 1993, 36, 1965.
  6. Foster, A. B.; Overend, W. G. J. Chem. Soc. 1951, 680.
  7. Foster, A. B.; Overend, W. G. J. Chem. Soc. 1951, 1132.

Appendix
Chemical Abstracts Nomenclature (Collective Index Number);
(Registry Number)

Isosorbide:
Glucitol, 1,4:3,6-dianhydro- (8);
D-Glucitol, 1,4:3,6-dianhydro-, (9); (652-67-5)

Sodium iodide (8,9); (7681-82-5)

Acetonitrile: (8,9); (75-05-8)

Chlorotrimethylsilane:
Silane, chlorotrimethyl- (8,9); (75-77-4)

Sodium thiosulfate:
Thiosulfuric acid, disodium salt (8,9); (7772-98-7)

Sodium hydride (8,9); (7646-69-7)