^
Top
Org. Synth. 1983, 61, 22
DOI: 10.15227/orgsyn.061.0022
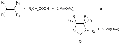
SUBSTITUTED γ-BUTYROLACTONES FROM CARBOXYLIC ACIDS AND OLEFINS: γ-(n-OCTYL)-γ-BUTYROLACTONE
[2(3H)-Furanone, dihydro-5-octyl-]
Submitted by E. I. Heiba, R. M. Dessau, A. L. Williams, and P. G. Rodewald1.
Checked by Gerald E. Lepone and Orville L. Chapman.
1. Procedure
Benzene has been identified as a carcinogen; OSHA has issued emergency standards on its use. All procedures involving benzene should be carried out in a well-ventilated hood, and glove protection is required.
A 1-L, four-necked flask is fitted with a nitrogen inlet tube, stirrer, dropping funnel, and thermometer. Acetic acid (558 g) is introduced and 107.6 g (0.439 mol) of manganese acetate tetrahydrate (Note 1) is added with stirring and heating under nitrogen. When the temperature reaches 90°C, 16.5 g of solid potassium permanganate (0.104 mol) is added. After the temperature has again fallen to 90°C, 175 mL (189 g, 1.86 mol) of acetic anhydride (Note 2) is added. When the temperature rise has ceased, 44.0 g of 1-decene (0.312 mol) (Note 3) is introduced, followed at once by 250 g of anhydrous sodium acetate. The reaction mixture is then heated to reflux (134°C pot temperature). After 2 hr of reflux under nitrogen the reaction mixture, now clear yellow, is diluted with 1 L of water. The crude product is extracted into 200 mL of benzene, and the aqueous layer again washed with 100 mL of benzene. Benzene is distilled from the combined extracts to give 55.1 g of lactone and 1-decene. 1-Decene is removed by vacuum distillation, followed by the lactone, which distills at 98–99°C (0.05 mm) (Note 4). The yield of γ-(n-octyl)-γ-butyrolactone is 34.1 g (66% based on potassium permanganate. However, the lactone yield based on olefin consumed is greater than 95%.)
2. Notes
1. The checkers used manganous acetate tetrahydrate obtained from Fisher Scientific Company. This compound is more readily available than manganous acetate dihydrate used by the submitters and obtained from the Harshaw Chemical Company.
2. If the dihydrate is used, only 76.7 g (0.751 mol) of acetic anhydride is required.
3. 1-Decene was used as obtained from the Humphrey Chemical Company.
4. The checkers found the yield based upon olefin consumed to be 85%. This discrepancy could be accounted for by losses due to the high volatility of 1-decene at reduced pressure.
3. Discussion
This method has the advantage that it does not require the preparation and purification of solid manganic acetate dihydrate. Dehydration by various ratios of acetic anhydride to manganese shows that in this procedure the yield (35%) from the monohydrate is greater than that from the manganic acetate dihydrate. Further removal of all water from the manganic acetate by means of acetic anhydride does not improve the yield (66%).
This general procedure can be used to prepare a wide variety of substituted γ-butyrolactones that depend on the structure of the olefin and the aliphatic acid used. The free-radical mechanism and scope of this reaction are described in detail in a paper by Heiba, Dessau, and Rodewald.2

References and Notes
  1. Mobil Research and Development Corporation, Central Research Division, P. O. Box 1025, Princeton, NJ 08540.
  2. Heiba, E. I.; Dessau, R. M.; Rodewald, P. G. J. Am. Chem. Soc. 1974, 96, 7977–7981.

Appendix
Chemical Abstracts Nomenclature (Collective Index Number);
(Registry Number)

acetic acid (64-19-7)

Benzene (71-43-2)

acetic anhydride (108-24-7)

sodium acetate (127-09-3)

potassium permanganate (7722-64-7)

nitrogen (7727-37-9)

manganese (7439-96-5)

monohydrate (7732-18-5)

1-decene (872-05-9)

dihydro-5-octyl-

manganese acetate tetrahydrate,
manganous acetate tetrahydrate (6156-78-1)

manganous acetate dihydrate

manganic acetate dihydrate (19513-05-4)

manganic acetate

2(3H)-Furanone

γ-(n-OCTYL)-γ-BUTYROLACTONE (2305-05-7)